本文汇总了2025年四川地方公费师范生的录取分数线情况。例如,绵阳师范学院小学教育(师范)专业定向到成都市金堂县就业,物理类最低分为557.22分;历史类定向到巴中市巴州区最低分为547.21分;内江师范学院英语专业定向到成都市金堂县就业,物理类最低分为533.208分等。

2025年四川地方公费师范生分数线
1、绵阳师范学院录取情况
绵阳师范学院作为四川省重点师范本科院校,2025年地方公费师范生招生实行区县定向政策,涵盖小学教育、化学、物理学、应用心理学等专业。整体录取分数差异明显,高分区县主要集中在成都市、南充市和广安市。
历史类:
定向至巴中市巴州区,小学教育(师范)547.21分
定向至巴中市恩阳区,小学教育(师范)541.20分
定向至广安市岳池县,小学教育(师范)584.21分
定向至南充市阆中市,小学教育(师范)568.20分
定向至南充市南部县,小学教育(师范)546.18分
定向至南充市仪陇县,小学教育(师范)557.19分
定向至内江市资中县,小学教育(师范)543.20分
物理类:
定向至成都市金堂县,小学教育(师范)557.22分
定向至巴中市巴州区,小学教育(师范)528.22分
定向至巴中市恩阳区,小学教育(师范)541.20分
定向至巴中市平昌县,小学教育(师范)512.20分
定向至德阳市罗江区,小学教育(师范)547.21分
定向至甘孜州甘孜县,小学教育(师范)500.18分
定向至广安市岳池县,小学教育(师范)570.21分
定向至绵阳市北川县,小学教育(师范)574.21分
定向至绵阳市江油市,小学教育(师范)563.20分
定向至南充市阆中市,小学教育(师范)556.21分
此外,化学和物理学专业分数整体略高,达州市达川区和宣汉县为高分区县。例如,化学专业定向至达州市宣汉县最低分582.20分,物理学专业定向至达州市宣汉县最低分582.22分。

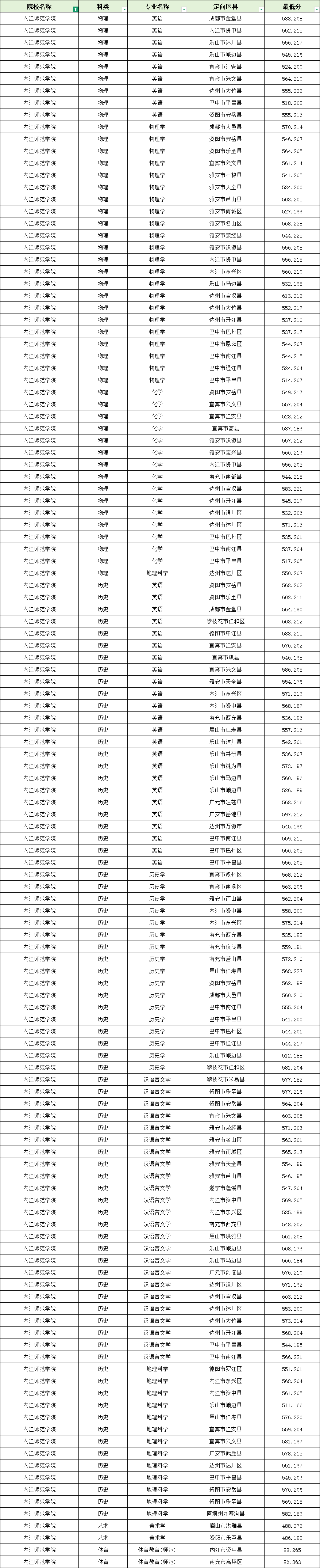
2、内江师范学院录取情况
内江师范学院2025年地方公费师范生录取专业涵盖英语、物理学、化学、应用心理学、历史学等,区县覆盖广泛,包括成都市、巴中市、宜宾市、雅安市等。
物理类:
定向至成都市金堂县,英语533.208分
定向至内江市资中县,英语552.215分
定向至乐山市沐川县,英语556.217分
定向至巴中市平昌县,英语518.202分
定向至达州市宣汉县,物理学613.212分
定向至巴中市巴州区,物理学537.217分
定向至雅安市石棉县,物理学541.205分
历史类:
定向至资阳市乐至县,英语602.211分
定向至攀枝花市仁和区,英语603.212分
定向至德阳市中江县,英语583.215分
定向至宜宾市兴文县,英语586.205分
定向至内江市东兴区,英语571.219分
历史学及汉语言文学专业录取分数稳定,资中县、巴中市和雅安市等地分数较高。例如,历史学定向至内江市东兴区最低分575.214分,汉语言文学定向至内江市东兴区最低分585.199分。

3、成都大学录取情况
成都大学2025年地方公费师范生招生以历史类和物理类特殊教育为主,区县定向包括巴中市、广元市、泸州市、绵阳市、内江市等。
历史类:
定向至广元市苍溪县,特殊教育599分
定向至泸州市叙永县,特殊教育587分
定向至广安市岳池县,特殊教育579分
定向至绵阳市江油市,特殊教育584分
定向至内江市资中县,特殊教育563分
物理类:
定向至巴中市南江县,特殊教育540分
整体来看,四川地方公费师范生录取情况区县差异明显,高分区县主要集中在成都市、南充市、达州市和雅安市,热门专业如小学教育、英语及化学、物理学竞争激烈,而部分偏远区县的专业分数相对较低。

剩余的四川师范大学、西华师范大学、成都师范学院、乐山师范学院的2025年四川地方公费师范生分数线详情如下:







