2024年新高考二卷的语文、数学、英语三个科目为全国统考,考试时间是6月7日至6月8日,涉及全国多个省份。各科考试结束后,圆梦小灯塔将第一时间上传更新该科答案,便于大家考后核对答案,参考估分。
参与2024年新高考二卷的省份包括海南、辽宁、重庆、安徽、吉林、黑龙江、甘肃、贵州、广西。语文、数学、英语由教育部考试院统一命题,而其他科目的考试则由各省地方教育部门自主命题。

一、2024年新高考二卷语文答案及试卷
考试时间:2024年6月7日,上午9:00-11:30,历时150分钟
答案及试卷解析:2024年新高考二卷语文考试结束后,圆梦小灯塔将及时收集整理上传答案及试卷内容,便于同学们考后参考估分,了解自己的高考语文成绩。

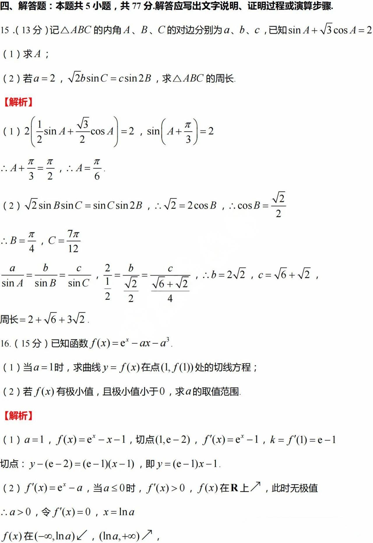
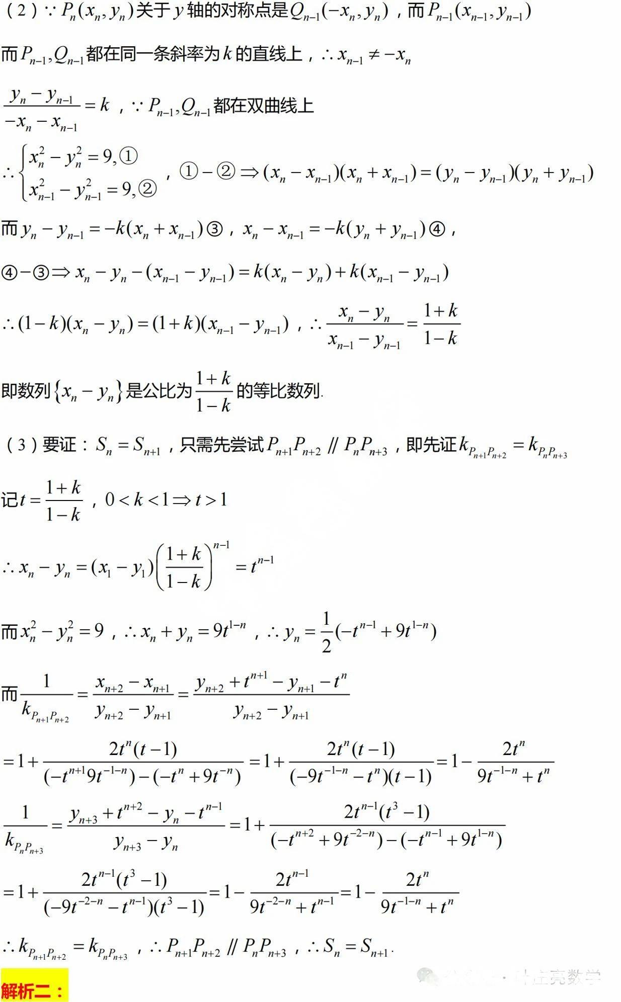
二、2024年新高考二卷数学答案及试卷
考试时间:2024年6月7日,下午15:00-17:00,历时120分钟
答案及试卷解析:2024年新高考二卷数学考试结束后,圆梦小灯塔将第一时间上传更新数学试题及答案,便于同学们考后回顾考试内容,预估数学分数。





















三、2024年新高考二卷英语答案及试卷
考试时间:2024年6月7日,下午15:00-17:00,历时120分钟
答案及试卷解析:2024年新高考二卷英语考试结束后,圆梦小灯塔将以最快的数据上传答案及试卷到本文,便于大家能够参考估分,了解自己的英语成绩。
四、结语
通过圆梦小灯塔上传的新高考二卷各科答案及试卷解析,同学们可以及时了解自己的考试情况,预估自己的高考分数。这有助于为后面的高考志愿填报做好心理准备。同学们可以根据自己预估的分数,筛选自己想报考的大学及专业。最后,祝愿所有考生都能进入自己理想的大学。






