高中的赋分、原始分指的是新高考计算再选科目成绩时的两种分数,赋分是等级划分后计入总分的最终成绩,原始分就是考生原本的卷面成绩。本期带大家了解2024年高考赋分怎么计算,包括等级分的计算公式、排名依据等。

一、高中的赋分和原始分是什么意思?
1. 赋分具体是什么意思?
赋分的意思就是,将考生的卷面成绩,从高到低排名后划分成不同的等级,然后再经过一定的计算公式,赋予考生最终计入高考总分的一个赋分成绩。
2. 原始分具体代表什么?
原始分是指考生的卷面成绩,原始分不会计入高考总成绩,仅作为赋分计算过程中使用。
看到这里,我想大家也明白了,最终我们高考成绩查到的分数,就是赋分计算后的分数,而不是卷面的原始分数。

二、2024年高考赋分怎么计算?
等级转换赋分的科目,是再选的两门科目,也就是政地化生中选择的那两门课程最终的成绩。下面就是2024年最新高考赋分等级分的计算方式以及对应的算分公式:
1. 原始分排序并划分等级
将大家所有人的原始分从高到低排序,并根据15%、35%、35%、13%和2%的比例梯度依次排序,划分成ABCDE五个等级。这五个等级,每一个等级都有原始分的区间,也有规定好的赋分后的成绩最高最低分。
具体各个等级的原始分最高分最低分,根据每次考试不同都会变,但赋分后的成绩区间固定,如下:

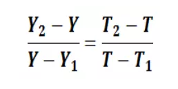
2. 计算公式
Y1、Y2:分别代表ABCDE每个区间的原始分最低分、最高分;
T1、T2:分别代表ABCDE每个区间赋分后规定的最低分、最高分;
Y:代表你本次考试的卷面原始分;
T:所计算的最终赋分后的等级分。
最终的T分值根据四舍五入取整数。
转换公式如下:

这样,我们就可以计算出大家最终的等级分数了。
以上就是本期为2024年的高考生整理的与赋分成绩有关的内容,希望对大家有所帮助。






