2025年广西高考本科录取分数线已公布,物理类考生最低329分即可考上本科院校,而历史类考生最低分数需402分。本文以2025年广西高考物理类本科录取数据为基础,详细解读各高校在广西的收分情况、分数区间及自治区内本科院校的投档线,帮助考生和家长清晰了解录取形势,合理规划志愿填报。

一、广西高考物理类多少分能上本科大学
根据2025年广西高考物理类本科批录取数据,考生最低329分即可被本科院校录取。该分数对应的是福建商学院预科班专业组(153组)。需要注意的是,这一分数属于特殊类型招生,若仅考虑普通专业组,物理类考生最低需480分左右才能进入本科院校,例如北京印刷学院(100组)485分、北方工业大学(103组)507分等。
(一)各大本科院校在物理类中的收分情况解读
2025年广西物理类本科录取分数区间广泛,从329分至673分不等,覆盖了从顶尖名校到普通本科的多层次选择。
1.高分段(600分以上):主要包括国内顶尖高校,如北京大学(102组)673分、清华大学(101组)672分、上海交通大学(109组)672分等。这一分数段的考生位次通常位于全省前1000名以内,竞争激烈。
2.中高分段(550-600分):涵盖多数211、双一流高校及部分省重点大学,如北京邮电大学(101组)638分、华中科技大学、中山大学等。该分段院校专业选择多,就业前景较好。
3.中分段(500-550分):包括一批省属重点本科及部分普通本科院校,如河北工业大学(101组)546分、沈阳航空航天大学(101组)525分等。考生在这一分段可重点关注专业优势较强的院校。
4.低分段(480-500分):主要为普通本科院校及部分特殊类型招生,如北京石油化工学院(101组)495分、天津商业大学(151组)460分等。考生需注意部分专业组为中外合作或高收费项目。
5.最低分段(329-480分):多为民族班、预科、中外合作或偏远地区院校,如北京语言大学(307组)385分、天津农学院(151组)408分等。适合分数较低但希望获得本科文凭的考生。

(二)自治区内本科大学的投档线解读
1.广西大学:作为区内唯一211高校,物理类投档线在531-585分之间。
2.广西师范大学:师范类重点院校,投档线在454-546分之间。
3.广西医科大学:医药类院校,投档线在416-607分之间。
4.桂林电子科技大学:理工类强校,投档线在485-548分之间。
5.广西民族大学、南宁师范大学等:普通本科院校,投档线多在480-500分区间。
考生在填报时需注意,区内高校部分专业有地域倾斜,实际录取分数可能略低于区外同水平高校。
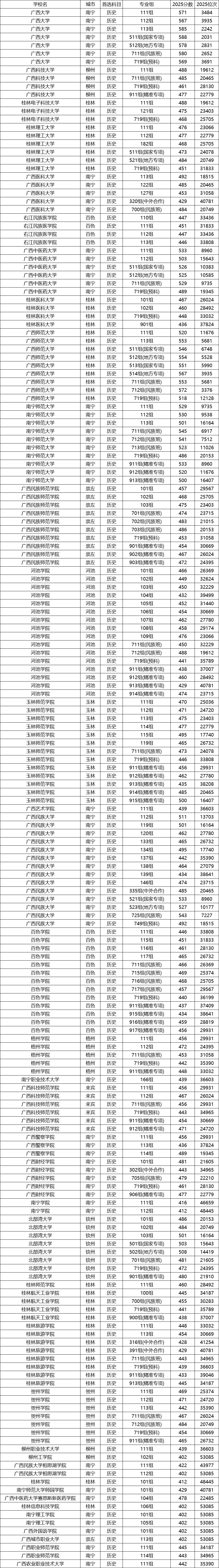
由于文本内容有限,以下仅展示广西自治区内本科院校的投档情况:

二、广西高考历史类多少分能上本科大学
2025年广西高考历史类本科批录取数据显示,考生最低402分即可被本科院校录取,具体为海南大学301组(中外合作办学)等。最高分为清华大学102组,659分。整体录取分数区间为402-659分,反映出本科院校层次的多样性和选择的广泛性。
(一)院校收分区间解读
1.高分段(600分以上):可报考全国顶尖高校。如清华大学(659分)、北京大学(653分)、复旦大学(646分)、上海交通大学(648分)等985、211院校,多集中在640分以上。600-640分段涵盖武汉大学、中山大学、南开大学、厦门大学等知名高校,适合分数优异、目标明确的考生。
2.中高分段(550-599分):覆盖多数211高校及部分省重点本科。如中南财经政法大学(603分)、苏州大学(596分)、华南师范大学(592分)、南京师范大学(599分)等。这一区间竞争激烈,考生可兼顾学校声誉与专业优势。
3.中分段(500-549分):以普通公办本科为主。例如浙江工商大学(555分)、河北大学(535分)、山西大学(516分)、河南大学(563分)等。分数在这一区间的考生可选院校较多,应注意地域、专业与就业的平衡。
4.低分段(402-499分):包含部分偏远地区院校、中外合作办学、预科班及特殊计划。如海南大学中外合作组(402分)、内蒙古民族大学(444分)、贵州工程应用技术学院(455分)、广西民族大学部分专业组(442分)等。考生需谨慎选择,关注办学性质与未来发展。

(二) 广西区内本科大学投档线详解
广西本地高校为考生提供了更多录取机会,各校投档线差异明显:
1.广西大学:作为区内唯一211高校,投档线较高,最低分为567分(112组),最高585分(113组)。国家专项、地方专项计划投档线在578-588分之间,民族班与预科班在569-580分。
2.广西师范大学:投档线在520-572分之间,普通批次最低520分(111组),民族班与专项计划在546-567分,适合中分段考生报考。
3.南宁师范大学:分数区间500-530分,普通批最低500分(113组),民族班与精准专项在520-545分,性价比高。
4.广西民族大学:投档线跨度较大,最低442分(137组),多数专业组在465-511分。中外合作办学485分,国家专项533分,适合分数中低的考生。
5.其他区内院校:如桂林理工大学(最低468分)、广西科技大学(最低461分)、玉林师范学院(最低465分)、百色学院(最低446分)等,为分数在450-500分的考生提供了扎实选择。
区内高校还设有民族班、预科班、精准专项等计划,投档线通常低于普通批次,如广西民族大学预科班492分,河池学院精准专项最低429分,考生可充分利用这些政策。
由于文本内容有限,以下仅展示广西自治区内本科院校的投档情况:

填报建议
分数与位次结合:录取分数每年波动,但全区位次更稳定。2025年历史类本科最低位次为53085位(402分),考生应参考往年位次填报。
关注专业组差异:同一院校不同专业组分数可能相差很大,如北京语言大学普通组585分,中外合作组仅482分。
区内院校优势:广西本地高校招生计划多,投档线相对友好,考生可优先考虑。
2025年广西高考历史类本科线低至402分,物理类329分,说明本科机会丰富。考生与家长应理性看待分数,全面了解院校信息,结合自身情况科学填报。祝愿所有考生都能进入理想大学!






