2025年全国高考于6月7日正式开考,全国29个省份已采用新高考模式,考试时长在3-4天,传统高考省份新疆、西藏仅考2天,需要参加民族语文考试的考生需延长一天,试卷类型主要分为新高考一卷、二卷和自主命题卷。

本文将整理全国各省份的高考试卷真题及答案,便于考生及时了解考试情况!
一、2025年全国高考试卷真题及答案
(一)新高考一卷真题及答案
适用省份:浙江、山东、江苏、广东、福建、湖北、湖南、河北、安徽、江西、河南。
考试模式:仅浙江、山东为“3+3”模式,其余省市为“3+1+2”模式,语文、数学、外语由教育部统一命题,物理 / 历史及选考科目由各省自主命题。
语文:6月7日 9:00-11:30
统一命题,所有省份共用新高考一卷语文试卷,
点击查看→2025年全国新高考一卷语文答案及真题解析(含作文)
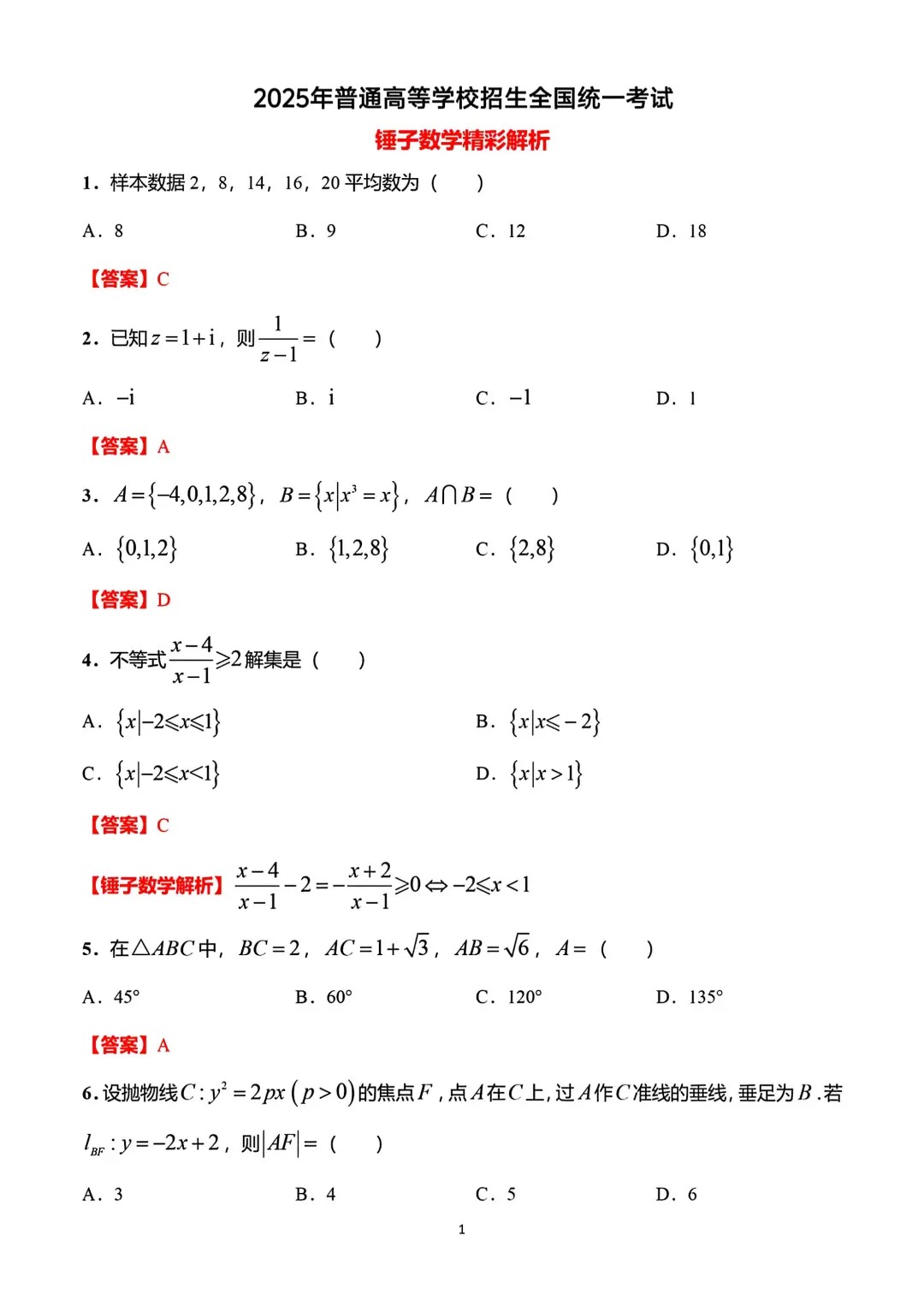
数学:6月7日 15:00-17:00






外语:6月8日 15:00-17:00(含听力)
统一命题,所有省份共用新高考一卷外语试卷,官方真题及答案将在考试结束进行公布!
各省选考科目考试时间均安排在6月8日-6月9日进行,仅浙江、山东安排在6月8日至10日进行。各省市选考科目真题及答案汇总如下:
1、浙江选考科目真题及答案
结束时间:6月10日16:30!各科试卷真题和答案解析将在考试结束后尽快更新,请考生及时关注本文最新内容!
2、山东选考科目真题及答案
结束时间:6月10日17:00!各科试卷真题和答案解析将在考试结束后尽快更新,请考生及时关注本文最新内容!
点击查看→2025年山东高考最新各科真题试卷+答案解析汇总(完整版)

3、江苏选考科目真题及答案
结束时间:6月9日18:15!试卷真题和答案解析将在考试结束后尽快更新,请考生及时关注本文最新内容!
4、广东选考科目真题及答案
结束时间:6月9日18:15!试卷真题和答案解析将在考试结束后尽快更新,请考生及时关注本文最新内容!
5、福建选考科目真题及答案
结束时间:6月9日18:15!试卷真题和答案解析将在考试结束后尽快更新,请考生及时关注本文最新内容!
6、湖北选考科目真题及答案
结束时间:6月9日18:15!试卷真题和答案解析将在考试结束后尽快更新,请考生及时关注本文最新内容!
7、湖南选考科目真题及答案
结束时间:6月9日18:15!试卷真题和答案解析将在考试结束后尽快更新,请考生及时关注本文最新内容!
8、河北选考科目真题及答案
结束时间:6月9日18:15!试卷真题和答案解析将在考试结束后尽快更新,请考生及时关注本文最新内容!
9、安徽选考科目真题及答案
结束时间:6月9日18:15!试卷真题和答案解析将在考试结束后尽快更新,请考生及时关注本文最新内容!
10、江西选考科目真题及答案
结束时间:6月9日18:15!试卷真题和答案解析将在考试结束后尽快更新,请考生及时关注本文最新内容!
11、河南选考科目真题及答案
结束时间:6月9日18:15!试卷真题和答案解析将在考试结束后尽快更新,请考生及时关注本文最新内容!

(二)新高考二卷真题及答案
适用省份:海南、重庆、辽宁、黑龙江、吉林、甘肃、贵州、广西、云南、山西、四川、陕西、内蒙古、青海、宁夏、新疆、西藏。
考试模式:仅海南为“3+3”模式,新疆、西藏为传统高考模式,其余省市为“3+1+2”模式,语文、数学、外语为全国统考科目,选考科目自主命题。
语文:6月7日 9:00-11:30
统一命题,所有省份共用新高考一卷语文试卷,官方真题及答案将在考试结束进行公布!
数学:6月7日 15:00-17:00
统一命题,所有省份共用新高考一卷数学试卷,官方真题及答案将在考试结束进行公布!


















外语:6月8日 15:00-17:00(含听力)
统一命题,所有省份共用新高考一卷外语试卷,试卷及答案如下:











各省选考科目考试时间均安排在6月8日-6月9日进行,仅海南安排在6月8日至10日进行。各省市选考科目真题及答案汇总如下:
1、海南选考科目真题及答案
结束时间:6月10日17:00!各科试卷真题和答案解析将在考试结束后尽快更新,请考生及时关注本文最新内容!
2、重庆选考科目真题及答案
结束时间:6月9日18:15!试卷真题和答案解析将在考试结束后尽快更新,请考生及时关注本文最新内容!
3、辽宁、吉林、黑龙江选考科目真题及答案
结束时间:6月9日18:15!东北三省共用吉林卷,试卷真题和答案解析将在考试结束后尽快更新,请考生及时关注本文最新内容!

4、甘肃选考科目真题及答案
结束时间:6月9日18:15!试卷真题和答案解析将在考试结束后尽快更新,请考生及时关注本文最新内容!
5、贵州选考科目真题及答案
结束时间:6月9日18:15!试卷真题和答案解析将在考试结束后尽快更新,请考生及时关注本文最新内容!
6、广西选考科目真题及答案
结束时间:6月9日18:15!试卷真题和答案解析将在考试结束后尽快更新,请考生及时关注本文最新内容!
7、云南选考科目真题及答案
结束时间:6月9日18:15!试卷真题和答案解析将在考试结束后尽快更新,请考生及时关注本文最新内容!
8、山西、陕西、宁夏、青海选考科目真题及答案
结束时间:6月9日18:15!西北四省联合命题,试卷真题和答案解析将在考试结束后尽快更新,请考生及时关注本文最新内容!
点击查看→2025年陕青宁晋新高考二卷全科试卷真题及答案解析
9、四川选考科目真题及答案
结束时间:6月9日18:15!试卷真题和答案解析将在考试结束后尽快更新,请考生及时关注本文最新内容!
10、内蒙古选考科目真题及答案
结束时间:6月9日18:15!试卷真题和答案解析将在考试结束后尽快更新,请考生及时关注本文最新内容!
11、新疆、西藏文综/理综真题及答案
结束时间:6月8日17:00!试卷真题和答案解析将在考试结束后尽快更新,请考生及时关注本文最新内容!

(三)自主命题卷
适用省份:北京、天津、上海。
考试模式:北京、天津采用 “3+3” 模式,上海采用 “3+3” 且外语实行一年两考(1 月和 6 月)。
1、北京高考真题及答案
结束时间:6月10日17:00!
2、天津高考真题及答案
结束时间:6月10日16:00!
3、上海高考真题及答案
结束时间:6月8日16:45!
高考是人生的重要节点,但并非终点。无论结果如何,保持积极心态,未来仍有无限可能。祝愿所有考生金榜题名,迈向理想新征程!






