山西省2026年新高考,各位考生的成绩将不再采用原始试卷得分,而是实行标准的等级赋分制度。本文将为2026年山西高考生详细介绍:新高考等级赋分对照表、计算公式及规则等!

一、山西高考赋分等级对照表
1、山西高考赋分的科目
思想政治、地理、化学、生物学,每科原始分数满分为100分。
2、山西高考等级划分
分为5个等级,具体为A、B、C、D、E,各等级所占据的考生人数分别是15%、35%、35%、13%和2%,对应的分数分别为100~86、85~71、70~56、55~41和40~30五个分数区间。
3、山西高考赋分等级对照表

排名前15%的考生,可获得等级A,赋分的区间是100~86分。
排名前15%~50%的考生,可获得等级B,赋分的区间是85~71分。
排名前50%~85%的考生,可获得等级C,赋分的区间是70~56分。
排名前85%~98%的考生,可获得等级D,赋分的区间是55~41分。
排名前98%~2%的考生,可获得等级E,赋分的区间是40~30分。

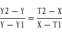
二、山西新高考等级赋分计算公式
根据等级比例转换方法,计算每个山西考生等级赋分的公式为:

其中:Y1、Y2分别表示某等级所对应原始分数区间的下限和上限;Y表示某考生的原始分数;
T1、T2分别表示相应等级的等级转换分数区间的下限和上限;X表示相应等级内某考生的等级转换分数。

三、山西最好的大学选科要求
根据软科2025年中国大学排名可知,山西排名第一、最好的大学是山西大学,排名全国第101名。下方展示的是山西大学各个专业的选科要求。
山西大学汉语言文学的选科要求是历史+不限,数学与应用数学的选科要求是物理+化学。
| 学校名 | 专业名 | 专业备注 |
|---|---|---|
| 山西大学 | 汉语言文学 | 历史+不限 |
| 山西大学 | 历史学 | 历史+不限 |
| 山西大学 | 哲学类 | 历史+不限 |
| 山西大学 | 英语 | 历史+不限 |
| 山西大学 | 翻译 | 历史+不限 |
| 山西大学 | 法学 | 历史+不限 |
| 山西大学 | 数学与应用数学 | 物理+化学 |
| 山西大学 | 信息与计算科学 | 物理+化学 |
| 山西大学 | 计算机科学与技术 | 物理+化学 |
| 山西大学 | 数据科学与大数据技术 | 物理+化学 |
| 山西大学 | 物理学 | 物理+化学 |
| 山西大学 | 光电信息科学与工程 | 物理+化学 |
| 山西大学 | 电子信息类 | 物理+化学 |






